Prosta zagadka geometryczna: rozwiązanie.
Zagadka o dwóch identycznych prostokątach "wpisanych" w kwadrat jest o tyle sympatyczna, że nie ma tu podanych żadnych "konkretnych" wymiarów żadnej figury; kwadrat może być długi na dwadzieścia centymetrów lub dwadzieścia parseków.
Wiemy tylko tyle, że obydwa prostokąty mają identyczne wymiary.
Można tu wykonać wiele akrobacji trygonometryczno - planimetrycznych i dojdzie się do wyniku po większych lub mniejszych przebojach. Jeżeli jednak ktoś zauważył, że przekątne obydwu prostokątów są do siebie równoległe...

... to już dalej z górki.
Oznaczmy sobie długość odcinka AE jako x, JD jako y. Ponieważ AE jest taki sam jak BF, a JD - jak FH, oraz ponieważ obydwie przekątne są do siebie równoległe, stąd wniosek że odcinek EJ ma długość x+y.
Odcinek HC również ma długość x+y, bo trójkąty GEJ oraz HCI są identyczne. Czyli bok kwadratu ma długość x+y+x+y czyli 2(x+y).
A skoro obydwa prostokąty są identyczne to odcinek GJ jest tej samej długości co bok kwadratu czyli AB.
Skoro d=x+y a j = 2(x+y), to sinus kąta EGJ wynosi (x+y) / (2(x+y)) czyli 1/2, a więc sam kąt to 30°.
Kąt EGJ jest identyczny z kątem FHG (z podobieństwa trójkątów), a więc ostatecznie odpowiedź to:
30°
Poprawną odpowiedź nadesłało czterech Czytelników, w następującej kolejności: Krzysiek, Futrak, Canthar, Waldek.
Niektóre opisy rozwiązań były całkiem krótkie; jeden z Czytelników rozwiązał zagadkę "intuicyjnie", inny podał prościutki przepis krok po kroku:

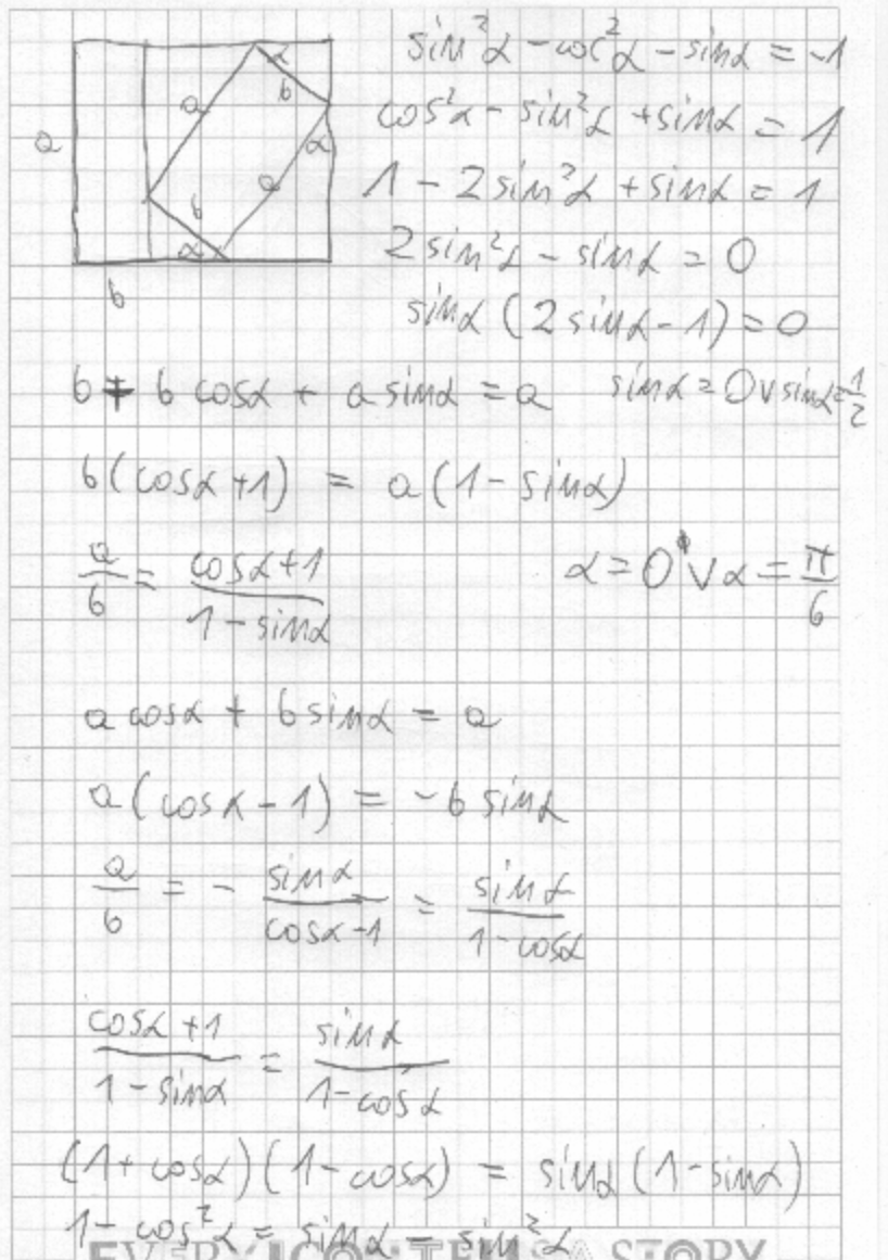
... a jeszcze inny - wręcz przeciwnie. Tzn. też krok po kroku, ale dookoła (choć jak najbardziej poprawnie):

Trafił się też jeden wiersz Norwida (ten o gwiazdach) i jedna odpowiedź bazgrana (takie lubię najbardziej, bo mają ten ludzki pierwiastek, którego brakuje bezdusznym pedeefom):

Ogólnie ubawiłem się setnie - doceniam Wasze poczucie humoru!
Komentarze